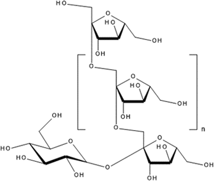
Fig. 1From: Developing emulsion gels by incorporating Jerusalem artichoke inulin and investigating their lipid oxidative stabilityChemical structure of inulin, drawn by BIOVIA DrawBack to article page